تعريفة المواصلات الجديدة في الجيزة بعد الزيادة الأخيرة في أسعار الوقود

اعتمد الدكتور أحمد الأنصاري محافظ الجيزة التعريفة الجديدة للموصلات بالمحافظة بدءًا من اليوم الثلاثاء بعد قرار لجنة التسعير التلقائي للمنتجات البترولية بوزارة البترول بتحريك الأسعار.
وأشار المحافظ إلى التنسيق بين تعريفات خطوط سير سيارات السرفيس الخارجية مع المحافظات المجاورة لضمان توحيد التعريفة.
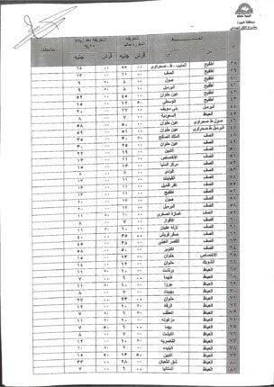
تعريفة الموصلات الجديدة
يستعرض موقع «نبأ مصر» في السطور التالية التعريفة الجديدة للموصلات في الجيزة بعد رفع أسعار البنزين والسولار.
تعريفة الموصلات الجديدة في الجيزة
وكلف المحافظ جهاز السرفيس والأحياء بطباعة ملصقات بالتعريفة الجديدة ونشرها في المواقف بشكل واضح.
وشدد على ضرورة التأكد من وضع الملصق الخاص بسيارات السرفيس والنقل الجماعي والذي يتضمن خط السير والأجرة المقررة وفقًا للزيادات الجديدة.
ووجه المحافظ الأجهزة المعنية بالرقابة على مدار الساعة للتأكد من الالتزام بالتعريفة الجديدة وعدم استغلال المواطنين.
مؤكدًا على حسم تطبيق التسعيرة الجديدة وتوقيع غرامات فورية ضد المخالفين.
أرقام تلقي الشكاوى
أكد المحافظ أن غرفة العمليات بالمحافظة تعمل على مدار الساعة لاستقبال أي بلاغات تخص التسعيرة الجديدة.
يمكن الاتصال على الأرقام 33465048 / 33465046 بالإضافة إلى خدمة الواتساب على الرقم 01016050453.
أسعار البنزين والسولار
قررت الحكومة زيادة أسعار المنتجات البترولية بدءًا من اليوم الثلاثاء الموافق 10 مارس الساعة الثالثة صباحًا.
سعر البنزين 95 اليوم
– ارتفع سعر بنزين 95 إلى 24 جنيهًا بدلًا من 21 جنيهًا للتر.
سعر بنزين 92 اليوم
– ارتفع سعر بنزين 92 إلى 22.25 جنيهًا بدلًا من 19.25 جنيهًا للتر.
سعر بنزين 80 اليوم
– ارتفع سعر بنزين 80 إلى 20.75 جنيهًا بدلًا من 17.75 جنيهًا للتر.
سعر السولار اليوم
– ارتفع سعر السولار إلى 20.5 جنيهًا بدلًا من 17.5 جنيهًا للتر.
سعر اسطوانة الغاز 12.5 كجم
– ارتفع سعر اسطوانة الغاز المنزلي 12.5 كجم إلى 275 جنيهًا بدلًا من 225 جنيهًا.
سعر اسطوانة الغاز 25 كجم
– ارتفع سعر اسطوانة الغاز المنزلي 25 كجم إلى 550 جنيهًا بدلًا من 450 جنيهًا.
سعر غاز تموين السيارات
– ارتفع سعر غاز تموين السيارات إلى 13 جنيهًا للمتر بدلًا من 10 جنيهات.
أسباب زيادة أسعار المنتجات البترولية
أوضحت وزارة البترول أن زيادة الأسعار جاءت نتيجة التطورات الجيوسياسية في منطقة الشرق الأوسط وتأثيرها على أسواق الطاقة العالمية مما أدى إلى ارتفاع تكلفة الاستيراد والإنتاج المحلي.
كما أكدت الوزارة استمرار جهود الدولة لتعزيز الإنتاج المحلي وتحفيز الاستثمارات في هذا القطاع.
تتابع الحكومة عن كثب تطورات الأسواق لضمان استدامة إمدادات المنتجات البترولية للمواطنين.
بعد قرار الحكومة بتحريك الوقود.. سعر أسطوانة الغاز اليوم الثلاثاء 10 مارس 2026.
محافظ كفرالشيخ يعتمد التعريفة الجديدة لنقل الركاب ويشدد على عدم استغلال المواطنين.




